حل سوال ریاضی و سرگرمی هفته گذشته
(هجدهمین سال نشراتی )
تاریخ نشر : پنجشنبه مؤرخ ۲۷ حمل ( فروردین ) ۱۴۰۵ خورشیدی ۱۶ اپریل ۲۰۲۶ میلادی – ملبورن – استرالیا
—————————————————————————————————————————
با سپاس از همکار گرامی ما اینک پاسخ سوال ریاضی
و سرگرمی هفته قبل را خدمت شما عزیزان
پیشکش می نماییم.
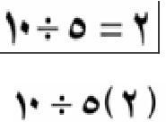
۱- جواب سوال ریاضی:
طریقه حل:
۱- نظر به قانون ریاضی ابتدا داخل قوس را حل می کنیم:
۲- عبارت به شکل زیر درمى آید:
ویا:
۳- طبق اولویت عملیات, تقسیم وضرب از چپ به راست انجام می شود، ابتدا تقسیم :
۴ـ سپس ضرب:
۲- جواب سوال فکری:









جناب انجنیر صاحب از زحمات قابل قدرتان ممنونم ، مؤفق باشید.
باعرض حرمت
قیوم بشیر هروی
ممنون شما جناب قیوم بشیر گرامی بابت نشر جواب های سرگرمی های هفته گذشته .
زحمات شما قابل قدر است،
درود ومهر نثار تان باد جناب انجنیر صاحب .